文章目录[隐藏]
![]()
作者:翟天保Steven
版权声明:著作权归作者所有,商业转载请联系作者获得授权,非商业转载请注明出处
注:本文所讲内容为本人硕士毕业论文:《基于干涉图像质量分析的激光干涉仪抗振技术研究》,如有引用需要标注来源哈,如有疑问可以评论回复也可以邮箱1257147469@qq.com联系我。
前言
随着光学技术的不断发展,越来越多的学者从事光学领域的相关学术研究工作,而相位解包裹就是光学相位测量领域中至关重要的一项技术,解缠效果的好坏直接影响了测试的精度和准确性,相位解包裹技术目前也被广泛应用于散斑干涉测量、移相干涉测量、合成孔径雷达、磁共振成像等各个方向。
基于算法实现原理可将解包裹技术大致分为两类:路径跟踪类算法和路径无关类算法。路径跟踪类算法代表用简单行列法、枝切法和质量图法,此类算法的核心在于确定积分结构与路径无关的条件,在满足条件的前提下,通过路径积分算法沿合适的路径还原相位,路径跟踪类算法所求解的相位更加精准;路径无关类代表为各类基于最小二乘原理的解包裹算法,此类算法核心在于运用各类原理或方法进行最小二乘求解,以获得最优的结果数据,常见的求解方法有快速傅里叶变换法(FFT)、迭代法、离散余弦变换法(DCT)等。路径无关类算法所求解相位优化性较好,但并不是精确的相位信息。
本文介绍了其中一种最经典和应用广泛的相位解包裹算法——枝切法,包括一维相位解包裹原理、二维行列法解包裹原理、枝切法原理和算法流程、代码实现。
一、一维相位解包裹原理
之所以有相位解包裹存在,是因为计算机在进行相位提取时,所得的相位因反正切函数arctan影响,均被折叠在(-π,π)区间内,因而产生区间边缘点的相位突变情况,形成包裹相位,实际效果如图1所示,该图是通过实际测量的干涉图进行计算所得。为了还原其真实的相位信息,必须对包裹相位进行相位解包裹处理,进而通过解完的相位信息计算出所需要的面形信息。

为了更好地理解相位解包裹的原理,先分析最简单的一维解包裹。对一维(只有X轴)的包裹相位而言,其相位折叠于(-π,π)区间内,如图2中蓝线所示,当连续的相位信息超过一个周期后,之后的相位信息骤减降回(-π,π)之间,即出现截断相位。解包裹过程为:从最开始的像素点开始遍历,比较前后两个相位值的大小;如果后相位值比前相位值小超过π,说明出现了截断相位,即相位被包裹,判断间隔k个周期,再令后相位值加上2πk使其回归真实周期;如果后相位值比前相位值大超过π,同理先判断间隔k个周期,再令后相位值减去2πk。

设包裹相位为
,真实相位为
,上述算法逻辑用公式(1)表示:
|
|
(1) |
综上可对一维包裹相位进行解包裹工作,以还原出真实相位信息。
二、二维行列法解包裹原理
第一部分讲解了一维相位解包裹的原理,据此可推导出一般意义上的二维解包裹逻辑,先一维展开再逐行或者逐列进一步展开即可实现二维解包裹,这就是行列法的原理,它是二维解包裹算法中最简单的一种,其具体实现过程为:
- 设干涉图大小为R×C,R为干涉图行数,C为干涉图列数。取C/2列为中心列,对该列的相位信息进行一维解包裹处理,如式(1);此时干涉图中心列的相位信息完成解缠,恢复到真实的相对相位状态,效果图如图3所示;
- 之后,以中心列上的相位数据为起点,分别对每个点的左右两侧的行数据进行解包裹操作,最终可实现全图相位信息的解缠,效果图如图4所示。


该方法运算效率极高,可随意选择路径并依次展开,但是它对噪声的抵抗力较差,当路径中出现异常的数据信息时,并不会将其忽略或跳过,而是沿着错误的信息继续进行解缠操作,这就容易使后续正常的相位信息受到噪声干扰,进而造成误差在路径上持续传播,最终导致相位解包裹失败。
综上,行列式解包裹算法适合对较理想的包裹相位进行解缠,其运算速度极快;当所测面形质量较差时,其解相后相位信息的解缠工作不适用该算法。其算法流程图如图5所示。

三、枝切法原理和算法流程
若要应对噪声对相位解缠的误差传递,则需对噪声区进行标记和隔离,而经典的枝切式解包裹算法可满足该条件,枝切法的原理:首先,现实环境下因为外在扰动的原因,会使相位数据受到噪声影响而出现非连续点的情况,标记包裹相位图中非连续点作为残差点(正负极性电荷);其次,将全图的残差点在小范围内进行配对连接,使残差点集合达到极性平衡,该范围一般尽可能小,即枝切线尽可能短;之后,从干涉图中某一非残差点位置开始向四周方向进行解包裹操作,若遇到枝切线上的点则解缠停止,直至全图所有正常相位点完成解缠;最后,分析枝切线周围的正常点相位信息,结合正常信息对枝切线上的相位进行最终的解缠。
其具体实现过程为:
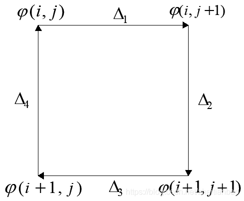
1)判定包裹相位图中残差点位置。设第i行第j列的包裹相位为
, 该值处于(-π,π)区间中;定义一个2×2大小的残差点判断窗口,如图6所示,沿顺时针方向计算相邻相位的差值,当差值超过(-π,π)区间时,对其进行缠绕操作W(对该值加减2π,确保其回归到单周期内),用
表示该窗口中各个相邻相位间的缠绕差值。

的表达式为公式(2):
|
|
(2) |
若窗口中的相位差均在(-π,π)内,则
相加为零,说明四个点连续的;反之则为不连续的异常点,此时将(i,j)作为残差点记录下来,残差点的缠绕差值和为2π的正负整数倍,若是正整数倍,则认为该残差点的极性电荷q为正,称作正残差点,值设为1,相反为负残差点,值设为-1:
|
|
(3) |
步骤一的算法流程图如图7所示。

2)将所有残差点按一定顺序排列,选取序列中第一个残差点开始第一轮搜索,以该残差点为中心设置大小为r×r(初始r为3)的搜索窗口来遍历窗口边缘的像素信息,当寻找到另一残差点时连接构成枝切线(两点间近似直线上所有像素点均认为在线上)并判断其极性。两点极性相反即达到平衡态(极性电荷和为0),直接结束该轮搜索工作;若极性相同则未达平衡态,继续寻找下一残差点,当搜索窗口遍历完成时,再以边缘残差点为中心,以同样大小的搜索窗口进行搜寻工作,假如仍未达到平衡态,则扩大搜索窗口尺寸再以开始的中心残差点为起点遍历窗口边缘,尺寸每次增加2(如5×5、7×7)直到达到设置的最大尺寸值(一般为7×7),当完成最大尺寸的遍历工作后无论是否达到平衡,该轮均认为结束。除此之外,当搜索过程中达到图像边缘,同样认为该轮搜索结束。
第一轮结束后,所有连接过的残差点无论整体是否平衡,均标记为已连接状态,若某点在整轮过程中没有任何一个残差点可以与其连接,则继续扩大搜索尺寸直到找到一个可以连接的点(不论正负)并连接,可有效避免某些残差点的遗漏现象发生;再以第二个未连接过的残差点为中心开启下一轮搜索,只搜索未连接过的残差点,以此类推直到全图残差点均被连接完毕,此时相位图的枝切线构建完毕。
步骤二算法流程图如图8所示。

3)开始解包裹:选取某非枝切线上点为起点,分别向其四周开始进行解包裹操作,解包裹之前首先判断其是否为图像边缘点(或掩膜点),再判断其是否已被其他路径进行过解包裹处理,最后判断其是否为枝切线上的点,当上述判断均为否时确认可进行解缠工作;再以四周进行完解包裹的点为起点,同样判断其四周情况,选择合适路径步进;依此类推,可遍历全图正常的包裹相位并完成对其解缠处理,若枝切线闭合则形成“孤岛”。
4)对全图未进行解包裹操作的点作处理。这部分点基本分布在枝切线上,判断点的四周是否存在正常已经解包裹的相位信息。若有则通过正常的相位信息对其进行解缠处理,若无则该点被认为是解缠失败的噪声点,即“异常点”。最终获得真实相位分布图,该相位分布信息有效隔离了噪声带来的误差传递。
步骤三和四的算法流程图如图9所示。

枝切式解包裹算法能精确地计算出真实的相位信息,相比迭代法之类的解包裹算法要高效许多,且有效避免了某些异常值的误差传递问题,对残差点较少的包裹相位图能起到很好的解包裹作用。其不足之处在于当干涉图中瑕疵过多时,如残差点密集分布,导致枝切线围绕某个区域进行了围绕式连接,进而会使该区域成为一片“孤岛”,其内的相位无法被展开,针对“孤岛”数据,可等第四步枝切线的点计算完再折返回来计算“孤岛”数据。
综上,枝切式解包裹算法能完成绝大多数包裹相位的解缠工作,而那部分少数因包含过多噪声而出现“孤岛”,并导致解缠效果异常的相位信息图,往往从肉眼即可看出较大的瑕疵,不需要应用移相干涉测量技术即可对此类质量差的元件进行过滤。因此,枝切式解包裹算法可以胜任绝大多数场景的解包裹工作。
四、代码实现
matlab代码见:matlab枝切法解包裹_解包裹图-图像处理文档类资源-CSDN下载
C++代码暂不公开分享,如有需要可评论留下邮箱,我将unwrap类中枝切法相关的实现函数单独分享。
总结
以上就是本文所讲的内容,简单介绍了相位解包裹的原理和枝切法的算法逻辑。
版权声明:本文为CSDN博主「翟天保Steven」的原创文章,遵循CC 4.0 BY-SA版权协议,转载请附上原文出处链接及本声明。
原文链接:https://blog.csdn.net/zhaitianbao/article/details/116115786
![]()

暂无评论