![]()
YOLOv1作为yolo系列开山之作结构还是比较简单的,相比于rcnn追求精确性,它还考虑了网络的速度。它的backbone借鉴了googlenet。

我们主要看输出:7X7X30
7X7表示将图片划分为了49个方格,每个网格可以预测生成一个bbox,我们再看30,他指的是(4+1)X2+20个类别,所以每一个方格可以生成两个bbox,而只输出那个与GT更加接近的bbox。

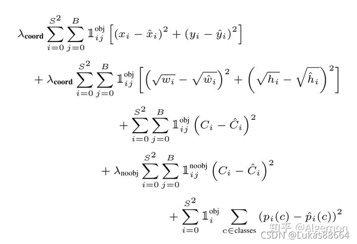
再来看一下loss function:
这里一些基本的公式都能看懂,基本就是让预测的bbox与GT进行一个比较分析。
两个超参数可以看一下:
Yolo面临的物体检测问题,是一个典型的类别数目不均衡的问题。其中49个格点,含有物体的格点往往只有3、4个,其余全是不含有物体的格点。此时如果不采取点措施,那么物体检测的mAP不会太高,因为模型更倾向于不含有物体的格点。两个超参数的作用,就是让含有物体的格点,在损失函数中的权重更大,让模型更加“重视”含有物体的格点所造成的损失。在论文中, 两个超参数的取值分别为5与0.5。
版权声明:本文为CSDN博主「Lukas88664」的原创文章,遵循CC 4.0 BY-SA版权协议,转载请附上原文出处链接及本声明。
原文链接:https://blog.csdn.net/hgj1h/article/details/121424324
![]()

暂无评论