![]()
IoU:使用最广泛的检测框loss。
GIoU:2019年CVPR Generalized Intersection over Union: A Metric and A Loss for Bounding Box Regression
DIoU和CIoU:2020年AAAI Distance-IoU Loss: Faster and Better Learning for Bounding Box Regression
#-------------------------------------------------------------------------------------------------------------------------------------------------------#
##IOU
介绍
IoU 的全称为交并比(Intersection over Union),通过这个名称我们大概可以猜到 IoU 的计算方法。IoU 计算的是 “预测的边框” 和 “真实的边框” 的交集和并集的比值。计算过程如下:

IOU的优点:
- IOU可以作为距离,loss=1-IOU。但是当两个物体不相交时无回传梯度。
- IOU对尺度变化具有不变性,即不受两个物体尺度大小的影响。
以A,B两个box重合的情况为例,若boxes1=[[0,0,10,10],[0,0,5,5]],boxes2=[[0,0,10,10],[0,0,5,5]],此时IOU=[1,1]
IOU的缺点:
-
无法衡量两框是相邻还是甚远,如下图2所示,两种情况下IOU均为0,(a)中两框距离较近,(b)中两框明显距离要远,但是仅从IOU数值上无法判断两者距离较近还是较远(两个物体不相交时无回传梯度)

-
IOU不能反映两个物体如何重叠(相交方式)。
如下图3所示,两种情况下的IOU均为0.1428,(a)中两框要比(b)中的相交更整齐一些,但是IOU并没有反映出这个特点。

代码如下:
def bb_intersection_over_union(boxA, boxB):
#定义一个函数来计算IOU的值
boxA = [int(x) for x in boxA] #从boxA中提取每一个元素x,并且每一个元素均为正数
boxB = [int(x) for x in boxB]
xA = max(boxA[0], boxB[0]) # #BoxA、BoxB两个宽度之间的交集的左边值,即阴影的宽度w的最左边值
yA = max(boxA[1], boxB[1]) #BoxA、BoxB两个高度之间的交集的上面边值,即阴影的高度h的最上边值
xB = min(boxA[2], boxB[2]) #BoxA、BoxB两个宽度之间的交集的左边值,即阴影的宽度w的最右边值
yB = min(boxA[3], boxB[3]) #BoxA、BoxB两个高度之间的交集的上面边值,即阴影的高度h的最下边值
interArea = max(0, xB - xA + 1) * max(0, yB - yA + 1) #BoxA,BoxB相交阴影部分面积
boxAArea = (boxA[2] - boxA[0] + 1) * (boxA[3] - boxA[1] + 1) #boxA的面积
boxBArea = (boxB[2] - boxB[0] + 1) * (boxB[3] - boxB[1] + 1) #boxB的面积
iou = interArea / float(boxAArea + boxBArea - interArea) #阴影部分/ boxA、boxB总的面积
return iou
#-------------------------------------------------------------------------------------------------------------------------------------------------------#
GIOU
介绍
GIOU是为克服IOU的缺点同时充分利用优点而提出的.(论文:Generalized Intersection over Union: A Metric and A Loss for Bounding Box Regression)
GIOU计算公式:

可以这样理解:
1.假设A为预测框,B为真实框,S是所有框的集合
2.不管A与B是否相交,C是包含A与B的最小框(包含A与B的最小凸闭合框),C也属于S集合
3.首先计算IoU,A与B的交并比
4.再计算C框中没有A与B的面积,比上C框面积;
5.IoU减去前面算出的比;得到GIoU
6.Note:本文提出的例子中A、B均是矩形框,但是也可以为其他的。比如:A、B为椭圆形,那么此时C将是包含A、B的最小椭圆形;或者A、B均是3D box也可。
过程如下图5所示:

论文作者给出几个GIoU的性质:
- 对尺度的不变性
- GIoU可认为是IoU的下界,小于等于IoU
如boxes1=[0,0,10,10],boxes2=[0,0,10,10],此时IOU=1,GIOU=1,这种情况下A与B重合
boxes1=[0,0,10,10],boxes2=[0,10,10,20],此时IOU=0,GIOU=0
boxes1=[0,0,10,10],boxes2=[5,5,15,15],此时IOU=0.1428,GIOU=-0.07936 - -1<=GIoU<=1,当A=B时,GIoU=IoU=1;当A与B不相交而且离得很远时,GIoU(A,B)趋向于-1。
如boxes1=[[10,10,15,15],[100,100,105,105]],boxes2=[5,5,10,10],计算的GIOU为[-0.5,-0.995],即A与B不相交,随着两者距离增加,GIOU值将趋向于-1,如下图6所示。 - 因此选用loss=1-GIoU
- GIoU能够更好地反应相交情况。如上面图3所示,虽然两种情况下IOU一致,但是(a)中相交的更为整齐,因此GIOU要比(b)中大。

GIoU最主要的作用: (1)对于相交的框,IOU可以被反向传播,即它可以直接用作优化的目标函数。但是非相交的,梯度将会为0,无法优化。此时使用GIoU可以完全避免此问题。所以可以作为目标函数
(2)可以分辨框的对齐方式
代码如下:
import numpy as np
def GIOU (boxes1 , boxes2 ):
"calculate GIOU "
'''
boxes1 shape : shape (n, 4)
boxes2 shape : shape (k, 4)
gious: shape (n, k)
'''
IOU = []
GIOU = []
num = (boxes1[:,0]).size
x1 = boxes1[:,0]
y1 = boxes1[:,1]
x2 = boxes1[:,2]
y2 = boxes1[:,3]
xx1=boxes2[:,0]
yy1=boxes2[:,1]
xx2=boxes2[:,2]
yy2=boxes2[:,3]
area1 = (x2 -x1) * (y2 -y1) #求取框的面积
area2 = (xx2-xx1) * (yy2- yy1)
for i in range (num):
inter_max_x = np.minimum(x2[i], xx2[:]) #求取重合的坐标及面积
inter_max_y = np.minimum(y2[i], yy2[:])
inter_min_x = np.maximum(x1[i], xx1[:])
inter_min_y = np.maximum(y1[i], yy1[:])
inter_w = np.maximum(0 ,inter_max_x-inter_min_x)
inter_h = np.maximum(0 ,inter_max_y-inter_min_y)
inter_areas = inter_w * inter_h
out_max_x = np.maximum(x2[i], xx2[:]) #求取包裹两个框的集合C的坐标及面积
out_max_y = np.maximum(y2[i], yy2[:])
out_min_x = np.minimum(x1[i], xx1[:])
out_min_y = np.minimum(y1[i], yy1[:])
out_w = np.maximum(0, out_max_x - out_min_x)
out_h = np.maximum(0, out_max_y - out_min_y)
outer_areas = out_w * out_h
union = area1[i] + area2[:] - inter_areas #两框的总面积 利用广播机制
ious = inter_areas / union
gious = ious - (outer_areas - union)/outer_areas # IOU - ((C\union)/C)
print("ious :",ious)
print("gious" ,gious)
IOU.append(ious)
GIOU.append(gious)
return GIOU
#-------------------------------------------------------------------------------------------------------------------------------------------------------#
DIOU
介绍
由于IOU Loss在候选框和真实框没有重叠的时候不提供任何移动梯度(LIoU=1-IOU始终为1),于是GIOU Loss引入了一个惩罚项(即图5中的(C-A并B)/C)。由于惩罚项的引入,在不重叠的情况下,预测框会向目标框移动。
但是考虑如下图图7情况。

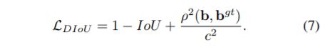
当出现上图情况时,GIoU Loss完全降级成IoU Loss,因此引入DIoU Loss,DIoU Loss是在IoU Loss基础上引入一个惩罚项,定义如下:

上述损失函数中,b,bgt分别代表了anchor框和目标框的中心点,且p代表的是计算两个中心点间的欧式距离。c代表的是能够同时覆盖anchor和目标框的最小矩形的对角线距离。因此DIoU中对anchor框和目标框之间的归一化距离进行了建模。直观的展示如下图所示。
DIoU的优点如下:
1.与GIoU loss类似,DIoU loss在与目标框不重叠时,仍然可以为边界框提供移动方向。
2.DIoU loss可以直接最小化两个目标框的距离,而GIOU loss优化的是两个目标框之间的面积,因此比GIoU loss收敛快得多。
3.对于包含两个框在水平方向和垂直方向上这种情况,DIoU损失可以使回归非常快,而GIoU损失几乎退化为IoU损失
代码如下:
def bboxes_diou(boxes1,boxes2):
'''
cal DIOU of two boxes or batch boxes
:param boxes1:[xmin,ymin,xmax,ymax] or
[[xmin,ymin,xmax,ymax],[xmin,ymin,xmax,ymax],...]
:param boxes2:[xmin,ymin,xmax,ymax]
:return:
'''
#cal the box's area of boxes1 and boxess
boxes1Area = (boxes1[...,2]-boxes1[...,0])*(boxes1[...,3]-boxes1[...,1])
boxes2Area = (boxes2[..., 2] - boxes2[..., 0]) * (boxes2[..., 3] - boxes2[..., 1])
#cal Intersection
left_up = np.maximum(boxes1[...,:2],boxes2[...,:2])
right_down = np.minimum(boxes1[...,2:],boxes2[...,2:])
inter_section = np.maximum(right_down-left_up,0.0)
inter_area = inter_section[...,0] * inter_section[...,1]
union_area = boxes1Area+boxes2Area-inter_area
ious = np.maximum(1.0*inter_area/union_area,np.finfo(np.float32).eps)
#cal outer boxes
outer_left_up = np.minimum(boxes1[..., :2], boxes2[..., :2])
outer_right_down = np.maximum(boxes1[..., 2:], boxes2[..., 2:])
outer = np.maximum(outer_right_down - outer_left_up, 0.0)
outer_diagonal_line = np.square(outer[...,0]) + np.square(outer[...,1])
#cal center distance
boxes1_center = (boxes1[..., :2] + boxes1[...,2:]) * 0.5
boxes2_center = (boxes2[..., :2] + boxes2[...,2:]) * 0.5
center_dis = np.square(boxes1_center[...,0]-boxes2_center[...,0]) +\
np.square(boxes1_center[...,1]-boxes2_center[...,1])
#cal diou
dious = ious - center_dis / outer_diagonal_line
return dious
#-------------------------------------------------------------------------------------------------------------------------------------------------------#
CIOU
介绍
一个好的目标框回归损失应该考虑三个重要的几何因素:重叠面积、中心点距离、长宽比。
GIoU:为了归一化坐标尺度,利用IoU,并初步解决IoU为零的情况。
DIoU:DIoU损失同时考虑了边界框的重叠面积和中心点距离。
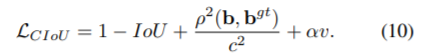
然而,anchor框和目标框之间的长宽比的一致性也是极其重要的。基于此,论文作者提出了Complete-IoU Loss。
CIOU Loss又引入一个box长宽比的惩罚项,该Loss考虑了box的长宽比,定义如下:
上述损失函数中,CIoU比DIoU多出了α和v这两个参数。其中α是用于平衡比例的参数。v用来衡量anchor框和目标框之间的比例一致性。

从α参数的定义可以看出,损失函数会更加倾向于往重叠区域增多方向优化,尤其是IoU为零的时候。
DIOU CIOU结果分析

代码如下:
def bboxes_ciou(boxes1,boxes2):
'''
cal CIOU of two boxes or batch boxes
:param boxes1:[xmin,ymin,xmax,ymax] or
[[xmin,ymin,xmax,ymax],[xmin,ymin,xmax,ymax],...]
:param boxes2:[xmin,ymin,xmax,ymax]
:return:
'''
#cal the box's area of boxes1 and boxess
boxes1Area = (boxes1[...,2]-boxes1[...,0])*(boxes1[...,3]-boxes1[...,1])
boxes2Area = (boxes2[..., 2] - boxes2[..., 0]) * (boxes2[..., 3] - boxes2[..., 1])
# cal Intersection
left_up = np.maximum(boxes1[...,:2],boxes2[...,:2])
right_down = np.minimum(boxes1[...,2:],boxes2[...,2:])
inter_section = np.maximum(right_down-left_up,0.0)
inter_area = inter_section[...,0] * inter_section[...,1]
union_area = boxes1Area+boxes2Area-inter_area
ious = np.maximum(1.0*inter_area/union_area,np.finfo(np.float32).eps)
# cal outer boxes
outer_left_up = np.minimum(boxes1[..., :2], boxes2[..., :2])
outer_right_down = np.maximum(boxes1[..., 2:], boxes2[..., 2:])
outer = np.maximum(outer_right_down - outer_left_up, 0.0)
outer_diagonal_line = np.square(outer[...,0]) + np.square(outer[...,1])
# cal center distance
boxes1_center = (boxes1[..., :2] + boxes1[...,2:]) * 0.5
boxes2_center = (boxes2[..., :2] + boxes2[...,2:]) * 0.5
center_dis = np.square(boxes1_center[...,0]-boxes2_center[...,0]) +\
np.square(boxes1_center[...,1]-boxes2_center[...,1])
# cal penalty term
# cal width,height
boxes1_size = np.maximum(boxes1[...,2:]-boxes1[...,:2],0.0)
boxes2_size = np.maximum(boxes2[..., 2:] - boxes2[..., :2], 0.0)
v = (4.0/np.square(np.pi)) * np.square((
np.arctan((boxes1_size[...,0]/boxes1_size[...,1])) -
np.arctan((boxes2_size[..., 0] / boxes2_size[..., 1])) ))
alpha = v / (1-ious+v)
#cal ciou
cious = ious - (center_dis / outer_diagonal_line + alpha*v)
return cious
#-------------------------------------------------------------------------------------------------------------------------------------------------------#
总结
DIoU要比GIou更加符合目标框回归的机制,将目标与anchor之间的距离,重叠率以及尺度都考虑进去,使得目标框回归变得更加稳定,不会像IoU和GIoU一样出现训练过程中发散等问题。
版权声明:本文为CSDN博主「笑看烟雨时」的原创文章,遵循CC 4.0 BY-SA版权协议,转载请附上原文出处链接及本声明。
原文链接:https://blog.csdn.net/weixin_47909977/article/details/115458486
![]()

暂无评论